L'OBSTRUCTION
A-T-ELLE MOINS
D'EFFETS EN NUMERIQUE QU'EN VISUEL ?
On entend parfois dire qu'en CCD l'optique de l'instrument a moins d'importance, et en particulier que les effets de l'obstruction centrale des télescopes sont bien moins "dévastateurs" en CCD qu'en visuel. Qu'en est-il réellement ?
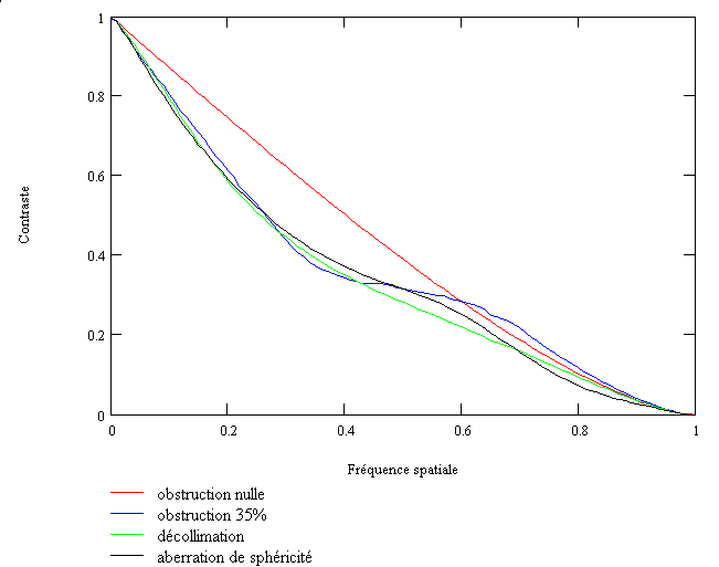
L'influence de l'obstruction (cf. Quels sont les effets de l'obstruction ?) peut se résumer à une baisse de contraste de l'image dans les basses et moyennes fréquences spatiales. On peut donc considérer qu'il s'agit d'une aberration optique au même titre qu'une aberration de sphéricité, une décollimation ou même un défaut de focalisation : toutes sont des dégradations du front d'onde qui provoquent une baisse de contraste. Il est d'ailleurs intéressant de constater, comme le montre la courbe de FTM ci-dessous (cf. Qu'est-ce qu'une courbe de FTM ?), que l'influence de ces différentes aberrations est assez similaire. On remarque en particulier une baisse générale de contraste dès les basses fréquences. Une simulation de la turbulence atmosphérique (voir l'ouvrage Star Testing Astronomical Telescopes) montre également un effet assez similaire de chute rapide de contraste.

La pratique de la CCD (ou de la webcam) a depuis longtemps démontré les effets visibles et irrémédiables d'une décollimation, d'une aberration de sphéricité importante ou de la turbulence sur la qualité des images numériques autant que sur l'image visuelle. L'exemple le plus célèbre est peut-être le télescope spatial Hubble qui souffrait à l'origine d'une importante aberration de sphéricité dont la conséquence sur ses images CCD était désastreuse puisque ces images montraient des performances inférieures à celles d'un bon télescope de 400mm, alors que l'optique du HST mesure 2,4m de diamètre (ce qui est cohérent avec la courbe de FTM de l'optique originale du HST qui montre une chute de contraste dans les basses et moyennes fréquences approximativement d'un facteur 6).
Tous ceux qui pratiquent l'imagerie
planétaire savent qu'une image CCD est un objet fragile, pris dans des
conditions délicates (faible lumière, turbulence) et où l'information est toujours prête à s'évanouir au
moindre problème. Peu importe qu'une baisse de contraste soit due à une cause
ou à une autre, c'est toujours une baisse de contraste et ses effets sont
toujours les mêmes : les détails subtils disparaissent ou se noient dans le
bruit de l'image. Alors que toutes les aberrations ont des effets sensibles, par
quel miracle l'obstruction, et elle seule, se distinguerait-elle par des effets
négligeables en numérique ?
Le traitement d'image permet certes de monter le contraste d'une image
numérique mais cette manipulation présente de sérieuses limitations à cause
du bruit. De plus, ce rehaussement de contraste peut être appliqué
aussi bien sur une image faite avec un instrument peu obstrué que sur une image
faite avec un instrument obstrué : s'il y a une grande différence de qualité
entre les deux images avant traitement, cette différence subsistera évidemment
après traitement !
Il n'y a aucune raison objective d'affirmer que l'obstruction a des effets moins importants en CCD. Au contraire, tout tend à prouver que ses effets se font sentir aussi bien en CCD qu'en visuel. Par voie de conséquence, l'affirmation sous-jacente selon laquelle les instruments obstrués à 35% environ présenteraient des performances visuelles extrêmement dégradées par leur obstruction tout en étant capables d'excellentes images CCD est, elle aussi, une idée reçue.